学好高中数学?

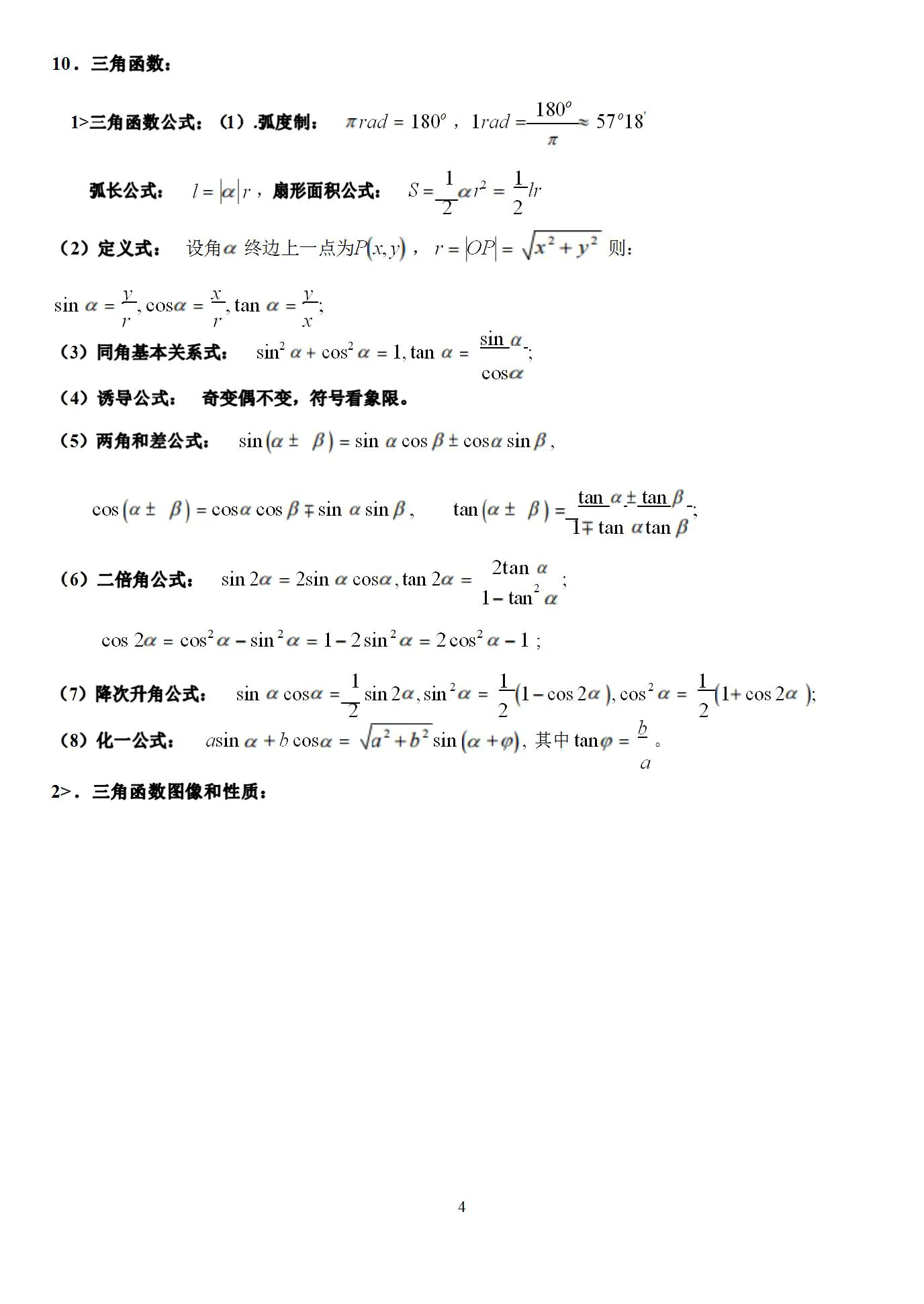
第一步要做的是背熟公式;[送心]第二步是在做题的过程中进行归纳总结,形成答题的套路和模板;第三步是将相似知识点进分类汇总,[大笑]形成自己的数学知识结构。今天小编就给大家分享高中数学公...
第一步要做的是背熟公式;[送心]第二步是在做题的过程中进行归纳总结,形成答题的套路和模板;第三步是将相似知识点进分类汇总,[大笑]形成自己的数学知识结构。今天小编就给大家分享高中数学公式大全([送心]#高中教育# #高中数学公式# #高中数学#
完整版)建议收藏!
f9879597539e44d8b31d5eaa47667e46~tplv-obj:1536:2048.image?from=post8843f05b4d0f4399b3e8dce0604010f5~tplv-obj:1376:1942.image?from=post628f907e10c9464fa1aad195ff803121~tplv-obj:1376:1942.image?from=post3a4a0b90a4454204815549778970246c~tplv-obj:1376:1942.image?from=post3e6620b953c646759fa02be1901e6e56~tplv-obj:1376:1942.image?from=post3f948a8286824e99bae2424054fe7e7e~tplv-obj:1376:1942.image?from=post
  • 发表于 2022-02-22 12:00
  • 阅读 ( 223 )
  • 分类:互联网

0 条评论

请先 登录 后评论
明军w工作室
明军w工作室

696 篇文章

你可能感兴趣的文章

相关问题